Los diputados dieron sanción el proyecto de ley “Que aprueba el Tratado de Budapest, sobre el reconocimiento internacional...
Año: 2022
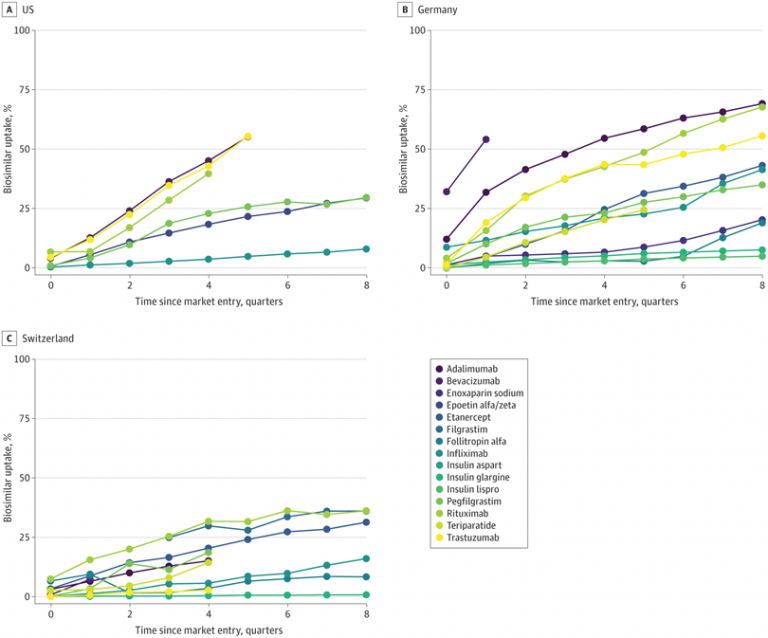
David L. Carl, MSc1; Yannic Laube, BA1; Miquel Serra-Burriel, PhD1,2; et al Los productos biológicos representan una proporción sustancial de los gastos de atención médica. Se...
La ministra para Ciencia y Tecnología, Gabriel Jiménez, informó este viernes sobre la detección del virus de...
El Boletín Oficial del Estado publicó el pasado lunes la Orden del Ministerio de Sanidad, de la...
La ministra de Salud de la Nación, Carla Vizzotti, descartó que la Argentina haya pagado por vacunas que...
El Instituto Anticorrupción (IA) recibió las copias de los contratos firmados entre Colombia y las farmacéuticas de...
Borujerd, IRNA: el director ejecutivo de Exir Pharmaceutical Company en Borujerd, Irán, Saman Gholami, dijo que la...
Las plantas medicinales se han utilizado ampliamente a nivel mundial y a lo largo de la historia...
por Guillermo Nieto Cannabis es una planta medicinal cultivada por siglos, con fines agrícolas, industriales y medicinales,...
Arribó a México el primer embarque de la vacuna Abdala, con cuatro millones 92 mil 500 dosis...
